当前位置:
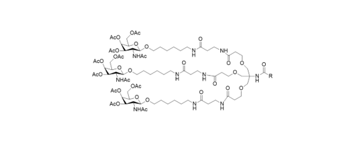
PAM-Acid derivatives

PAM-Acid derivatives

分享
微信
新浪微博
QQ
QQ空间
豆瓣网
百度贴吧
货号 G100004
英文名称 PAM-Acid derivatives
分子量 /
CAS号 /
外观 白色固体
所属分类 Galnac
纯度 ≥98%
储存条件 -20℃
13761069021
技术参数

The patented product can only be used forscientific research and experiment, or be used with the permission of thepatentee or its authorized licensor.

专利产品只能用于科学研究和实验,或经专利权人或其授权许可人许可使用。