上海科泽永欣生物科技有限公司
首页
|
关于我们
|
产品中心
|
新闻中心
|
联系方式
中文
English
当前位置:
首页
>
dGTP.3Na
产品分类
核苷&亚磷酰胺
核苷单体及修饰性核苷
亚磷酰胺
二聚体、三聚体及多聚体
核苷&亚磷酰胺定制服务
磷试剂衍生物
递送系统
脂质纳米颗粒(LNP)
N-乙酰半乳糖胺类Galnac
mRNA原辅料
Cap analog
Nucleotides
CDN
荧光标记类
磷酸辅料
CRO&CDMO定制服务
硼酸类
氟化学
杂环类
氨基酸及多肽类
硝基化合物
1/1
上一个
下一个
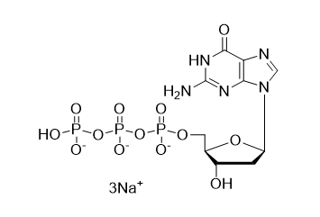
dGTP.3Na
分享
微信
新浪微博
QQ
QQ空间
豆瓣网
百度贴吧
货号
TP1002
英文名称
Deoxy-Guanosine-5'-triphosphate, trisodium salt solution
分子量
573.13
CAS号
/
外观
无色透明水溶液
所属分类
Nucleotides
纯度
≥98%
储存条件
-20℃, Always avoid freeze-thaw cycles
13761069021
技术参数
地址:
闵行区中春路1288号2幢102室
Tel/联系电话:
13761069021
邮箱:
zhangkun@kezxbio.com